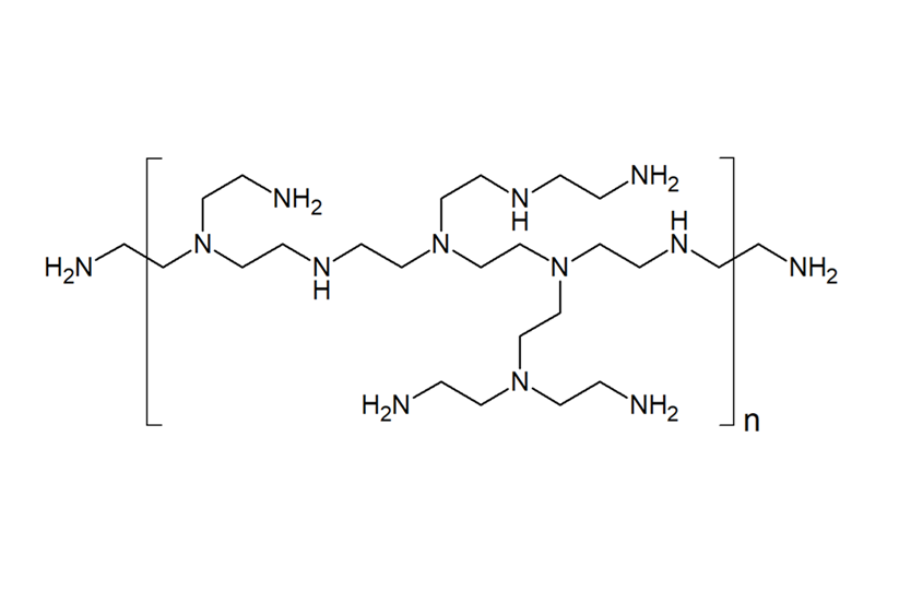
乙二胺封端的聚乙烯亞胺 (混合物)
| 產品編號 | P-018106 |
|---|---|
| CAS No. | 25987-06-8 |
| 別名 | 聚次乙亞胺 聚乙烯亞胺均聚物 聚乙烯亞胺,乙二胺封端 1,2-乙二胺與氮丙啶的聚合物 |
| 包裝 | 50 kg HDPE drum / 25 kg HDPE drum |
| 純度等 | Assay 35 - 50 % |
| 應用 |
| 產品編號 | P-018106 |
|---|---|
| CAS No. | 25987-06-8 |
| 別名 | 聚次乙亞胺 聚乙烯亞胺均聚物 聚乙烯亞胺,乙二胺封端 1,2-乙二胺與氮丙啶的聚合物 |
| 包裝 | 50 kg HDPE drum / 25 kg HDPE drum |
| 純度等 | Assay 35 - 50 % |
| 應用 |