搜尋
搜尋
關於我們
我們的服務
分野別製品紹介
最新消息
聯絡我們
LANGUAGE
日本語
ENGLISH
繁體中文
首頁
產品介紹
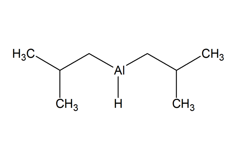
二異丁基氫化鋁 (己烷溶液)
二異丁基氫化鋁 (己烷溶液)
產品編號
P-017854
CAS No.
1191-15-7
別名
DIBAH
包裝
純度等
1.0 mol/L
應用
加入詢問產品詢問單 (0)
其他資訊