搜尋
搜尋
關於我們
我們的服務
分野別製品紹介
最新消息
聯絡我們
LANGUAGE
日本語
ENGLISH
繁體中文
首頁
產品介紹
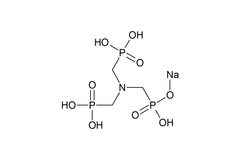
氨基三甲叉膦酸鈉
氨基三甲叉膦酸鈉
產品編號
F-043123
CAS No.
20592-85-2
別名
氨基三甲叉膦酸四鈉
氨基三亞甲基膦酸四鈉
包裝
純度等
應用
阻燃樹脂原料
加入詢問產品詢問單 (0)
其他資訊