搜尋
搜尋
關於我們
我們的服務
分野別製品紹介
最新消息
聯絡我們
LANGUAGE
日本語
ENGLISH
繁體中文
首頁
產品介紹
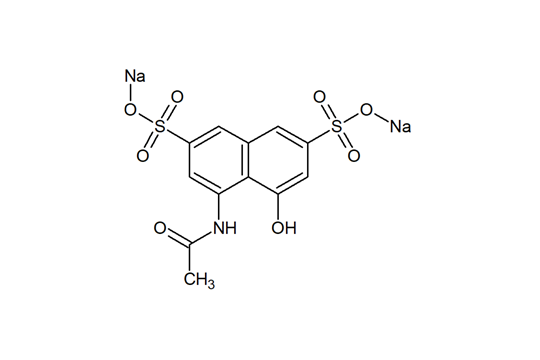
4-(乙酰氨基)-5-羥基-2,7-萘二磺酸雙鈉鹽
4-(乙酰氨基)-5-羥基-2,7-萘二磺酸雙鈉鹽
產品編號
F-029585
CAS No.
16698-16-1
別名
包裝
純度等
應用
染料
加入詢問產品詢問單 (0)
其他資訊